单选题

属于不变增长模型的是( )。

A

B

C

D

查看答案
答案
正确答案:A
解析

【答案】A

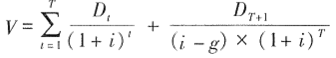
【解析】不变增长模型又称戈登模型,该模型有三个假设:①股息的支付是永久性的;②股息的增长速度是一个常数,即g,为一个常数g;③模型中的贴现率i大于股息增长率。该模型公式如下:

历年真题
资料下载

注册回到顶部

版权所有©环球网校All Rights Reserved