单选题
头孢菌素类抗生素

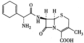
将头孢氨苄中的苯核用1,4-环己二烯替代,与头孢氨苄抗菌作用相似,对β-内酰胺酶稳定,毒性较小,且口服吸收比肌内注射快且安全的药物是

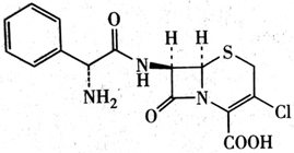
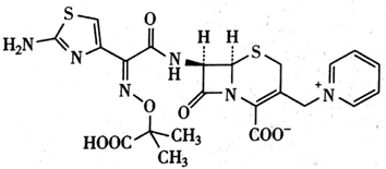
A

B

C

D

E

查看答案
答案
正确答案:B
解析

本题考查的是头孢菌素类药物。1,4-环己二烯的结构为

历年真题
资料下载

注册回到顶部

版权所有©环球网校All Rights Reserved