判断题

证券组合的风险水平不仅与组合中各证券的收益率标准差有关,而且与各证券收益率的相关程度有关。(   )

A

正确

B

错误

查看答案
答案
正确答案:A
解析

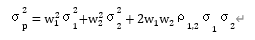
  两项资产组合的收益率的方差满足以下关系式:

由上述公式看出:①三个因素决定风险大小:投资比例、单项资产的标准差(或方差)、相关系数(相关程度)。 ②相关系数越大,组合方差越大,风险越大。反之,相关系数越小,组合方差越小,风险越小。  
历年真题
资料下载

注册回到顶部

版权所有©环球网校All Rights Reserved