单选题

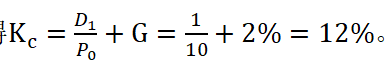
某公司采用固定增长股利政策,每年股利增长率为2%,如果第一年的每股股利为1元,普通股每股融资净额为10元,则该公司发行普通股的资本成本率为( )。

A

11%

B

10%

C

12%

D

5%

查看答案
答案
正确答案:C
解析

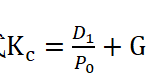
本题考点为第9章普通股资本成本率的计算。根据公式

代入相关数值,

历年真题
资料下载

注册回到顶部

版权所有©环球网校All Rights Reserved