单选题

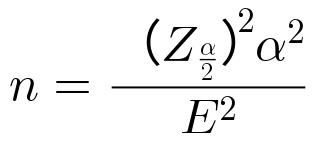
某医院欲估计医生接诊病人花费的平均时间。如果置信度为 95%,允许的误差范围在 2 分钟以内,则需要抽取的样本容量为(    )。(注:以往数据显示,医生看病时间的标准差为 6 分钟, Z0.025=1.96)

A

B

C

D

查看答案
答案
正确答案:A
解析

历年真题
资料下载

注册回到顶部

版权所有©环球网校All Rights Reserved