单选题

某企业生产大米,包装标准是每包大米 100 斤。假定每包大米的重量服从正态分布,且标准差为 2,则在 95.45%的包装中大米重量的取值范围是( )。

A

(100−4,100+4)              

B

(100−2,100+2)

C

(100−6,100+6)                

D

(100−8,100+8)

查看答案
答案
正确答案:A
解析

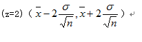
以95.45%的置信水平推断总体参数推断总体参数的置信区间为

历年真题
资料下载

注册回到顶部

版权所有©环球网校All Rights Reserved