切换考试
首页
>
统计师
>
统计基础理论及相关知识(中级)
>
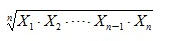
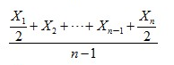
几何平均数的计算公式有()。
多选题
几何平均数的计算公式有()。
A
B
C
D
E
查看答案
答案
正确答案:A,D,E
解析
历年真题
资料下载
更多试题 >
更多资料 >
登录
|
注册
|
回到顶部
版权所有©环球网校All Rights Reserved