某大型以太网只有两个主机,它们同时发送帧,形成碰撞后按截断二进制指数退避算法进行重传。重传次数记为i,i=1,2,3,.....则一个主机成功发送数据之前的平均重传次数约为( )。
1
4.75
1.64
3.25
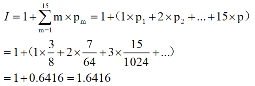
平均重传次数=重传成功的1次+前面重传失败次数的平均值。
【通俗版】题目解析:截断二进制指数退避算法
这道题考察的是以太网(CSMA/CD)处理冲突的核心机制。想象一下,两个人在窄巷子里碰头(碰撞),为了错开走,大家各自心里随机默数几个数再走。
计算步骤如下:
【通俗版】题目解析:截断二进制指数退避算法这道题考察的是以太网(CSMA/CD)处理冲突的核心机制。
想象一下,两个人在窄巷子里碰头(碰撞),为了错开走,大家各自心里随机默数几个数再走。
计算步骤如下:基本原理:
在第 i次冲突后,主机会从 [0, 2^i - 1] 这个区间里随机选一个数字。
当两个主机选的数字不同时,发送就成功了。
第 1 次重传 (i=1):可选数字:{0, 1}(共 2 个)。
双方组合:(0,0), (0,1), (1,0), (1,1),共 4 种情况。
成功概率:数字不同 (0,1) 或 (1,0),概率为 2/4 = 0.5。失败概率:0.5。
第 2 次重传 (i=2):
前提是第 1 次失败了。此时可选:{0, 1, 2, 3}(共 4 个)。
失败概率:两人选的一样,概率是 4/16 = 0.25。
成功概率:1 - 0.25 = 0.75。
计算平均重传次数:
平均次数 E = 1 * P(1次成功) + 2 * P(2次成功) + 3 * P(3次成功) ...P(1次成功) = 0.5P(2次成功) = P(1次失败) * P(2次尝试成功) = 0.5 * 0.75 = 0.375P(3次成功) = 0.5 * 0.25 * (1 - 1/8) 约等于 0.109
将这些相加:1 * 0.5 + 2 * 0.375 + 3 * 0.109 + ...约等于1.64。