在UML活动图中()是原子的,不能被分解、没有内部转移、没有内部活动,它的工作所占用的时间可以忽略。
活动状态
初始状态
动作状态
原子状态
在UML活动图中,C.动作状态是原子的,不能被分解、没有内部转移和内部活动,工作占用时间可忽略。
关键分析:
A.活动状态:可分解为子活动(复合状态),不符合“原子”要求;
B.初始状态:是流程起点的节点,不涉及“工作执行”;
C.动作状态:UML定义中,动作是原子性的、不可再分的操作,执行时间极短(可忽略);
D.原子状态:非UML活动图的标准术语(常见于状态机图,但非本题范畴)。

活动图要素:
活动:流程中非原子的任务执行过程。
①动作状态:执行原子、不可中断动作的状态,用圆角矩形表示。
②活动状态:可分解、非原子状态,完成需要时间,用圆角矩形表示。
③控制流:动作状态间的转换流,用带箭头直线表示,可加条件限制。
④分支与合并:表示条件行为。分支有一个入转换和两个互斥出转换;合并有两个入转换和一个出转换。
⑤分叉与汇合:分叉将控制流分为多个并发分支;汇合同步这些分支完成事务。
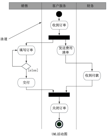
⑥泳道:用垂直实线将活动分组指定给业务对象,明确活动归属。每个活动只属于一个泳道,不同泳道活动可顺序或并发进行。
