切换考试
首页
>
教师资格
>
>
单选题
学科知识
A
B
C
D
查看答案
答案
正确答案:B
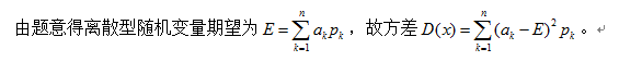
解析
历年真题
资料下载
更多试题 >
更多资料 >
登录
|
注册
|
回到顶部
版权所有©环球网校All Rights Reserved