单选题
第九章 建设项目环境风险评价技术导则

某新建化工厂平面布局分为一区、二区两个厂区、一区危化品库甲醇储罐设计最大储存量为25t、甲硫醇储罐设计最大储存量为10t,二区危化品库甲醇储罐设计最大储存量为35t、甲硫醇储罐涉及最大储量为20t。甲醇临界量为10t,甲硫醇临界量为5t。根据《建设项目环境风险评价技术导则》(HJl69-2018),该化工厂危险物质总量与其临界量比值(Q)为()

A

12

B

4.5

C

7.5

D

6

查看答案
答案
正确答案:A
解析

危险物质数量与临界量比值(Q

计算所涉及的每种危险物质在厂界内的最大存在总量与其在附录B中对应临界量的比值Q,在不同厂区的同一各物质,按其在厂界内的最大存在总量计算,对于长输管线项目,按照两个截断阀室之间管段危险物质最大存在总量计算。

当只涉及一种危险物质时,计算该物质的总量与其临界量比值,即为Q

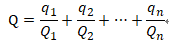
当存在多种危险物质时,则按下式计算物质总量与其临界量比值(Q):

    式中:q1,q2,…qn——每种危险物质的最大存在总量,t

    Q1,Q2,…Qn——每种危险物质的临界量,t

    当Q<1时,该项目环境风险潜势为1

    当Q≥1时,将Q值划分为:(11≤Q<10;(210≤Q<100;(3Q≥100



历年真题
资料下载

注册回到顶部

版权所有©环球网校All Rights Reserved